
【报告题目】 自旋噪声谱测量技术及应用 【报 告 人】 姬杨 研究员 中科院半导体所 【时 间】 2019-12-18 4:00 pm (Wedensday) 【地 点】 北园106报告厅 【报告摘要】 传统的用于半导体自旋弛豫...

【报告题目】 When machine learning meets physics 【报 告 人】 刘军伟 教授 香港科技大学 【时 间】 2019-12-13 4:30 pm (Friday) 【地 点】 北园106报告厅 【报告摘要】 Machine learning t...

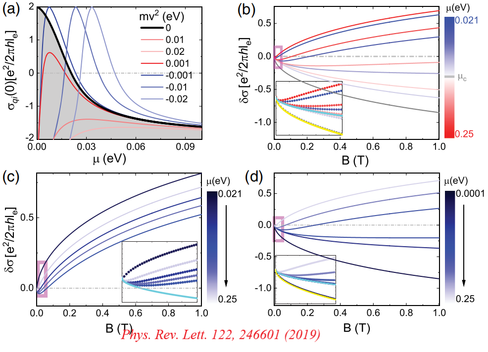
【报告题目】 Theory of Magnetoresistance in Three-Dimensional Dirac Materials 【报 告 人】 Prof. Shun-Qing Shen Department of Physics, The University of Hong Kong 【时 间】 2019-12-11 4:00 pm ...

【报告题目】 Quantum phase transition of fracton topological orders 【报 告 人】 刘雄军教授 北京大学 【时 间】 2019-12-04 4:00 pm (Wedensday) 【地 点】 北园106报告厅 【报告摘要】 ...

【报告题目】 Universal Thermodynamic Signature of Self-dual Quantum Critical Points 【报 告 人】 Dr. Long Zhang University of Chinese Academy of Sciences 【时 间】 2019-12-02 2:00 pm (...